September 1998
Letters to the Editor
or return to September 1998 Contents


IN THE TOP THREE

Editor,

Thanks for the great article on channel analysis by Editor Thom Hartle in your July 1998 issue. It's one of three of my favorite articles in seven years. Keep up the good work. I also like the artwork in your magazine.

ROGER GARABEDIAN
Fresno, CA

TRADING SYSTEMS

Editor,

Would you do a big favor for the trading community and bring some truth to the surface about the best trading systems out there? Please publish some serious scientific work.

ARTHUR C. G. JOHANNPETER
via E-mail
Opinions abound on the usefulness of one trading system over another. Trading systems can be segregated into two groups: disclosed and nondisclosed (black boxes). Black boxes are systems that tell you what to do without revealing how the system generated the recommendation.

In actuality, black-box non-disclosed systems are almost always some combination of known technical analysis methodologies. Disclosed systems, too, use trading studies, tools, techniques or methods that STOCKS & COMMODITIES covers.

STOCKS & COMMODITIES endeavors to teach our readers how to trade with whatever tools and information are available. We also describe or review products or services that could be helpful to traders. Reviews can give you an idea what a product does and what it's like to use, but a reviewer may not be able to judge the provider's integrity. Moreover, instructions for implementing technical analysis are a little like cake recipes: The results are greatly affected by the practitioner or cook.

One of our magazine's ongoing editorial goals is to publish articles about charting and computerized trading techniques. Thanks for writing.-- Publisher


SUPPORT AND RESISTANCE

Editor,

May I first commend you on your excellent publication. It has helped me immeasurably with my analysis. I hope you can help with my dilemma.

I'm trying to find books that deal specifically with support and resistance levels. I'm trying to find out exactly how volume and open interest affect support and resistance levels and how I might rank support and resistance areas statistically in terms of volume and open interest.

Can you recommend any past issues or volumes? Once again, well done on an excellent magazine.

STEVE THOMAS
via E-mail
Here is an article on support and resistance from our May 1998 issue that may interest you:

Automated Support And Resistance (May 1998)

Support and resistance analysis is a proven method for selecting key price levels for trading decisions; traders usually perform the analysis by hand. The automatic charting method and new oscillators presented here are easy to implement and give a precise comparison of price to these important levels. By Mel Widner, Ph.D.

This article presents a quantifiable method of determining support and resistance. At that point, you could incorporate volume and open interest into your research.-- Editor


INVESTMENT ADVISORY SERVICES

Editor,

I am new to stock investing and am having trouble determining which of the numerous investment advisory services to use. Is there some independent, third-party resource that has reviewed the various services and reported on the results?

MICHAEL J. MOODY
via E-mail
For reporting on the performance of technically based advisors, check out The MoniResearch Newsletter, PO Box 19146, Portland, OR 97280, 800 615-6664, which publishes rankings of market timers. We interviewed the publisher of the newsletter, Steve Shellans, in our September 1997 issue.

As another avenue, ask advisory services for a published track record, then compare that with a benchmark or index such as the S&P 500 for a gauge on annual return.-- Editor


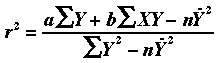
CALCULATING R-SQUARED

Editor,

I was most interested to read "Surfing the linear regression curve with bond futures" in the May 1998 STOCKS & COMMODITIES. It provided all the tools I needed to add to my spreadsheet system a series of linear regressions as aids to trading.

I also liked Jack Karczewski's "Identifying market trends" in the April 1998 S&C. However, there was no mention in either of these articles as to how r-squared is actually calculated. Perhaps you could help a nonmathematician?

TREVOR T. BESTOW
Roleystone, Australia
From page 330 of the book Statistics for Modern Business Decisions by Lawrence Lapin (Harcourt Brace Jovanovich), here is the formula for coefficient of determination (r2):

Using the information from page 34 of the May 1998 S&C (see sidebar, "Fitting a trendline by least squares") and the above formula, the only new values to be calculated before plugging them into the formula are the mean of Y squared and the sum of Y squared, which can be found through simple arithmetic. Following, then, is the r-squared formula using the data from page 34:

I hope this helps.-- Editor


TRADESTATION CODE

Editor,

I am fascinated by the graphs I saw in "The German mark noise channel breakout system" by Dennis Meyers in the April 1998 S&C.

Could you tell me the formulas for the indicators and trading system presented in the article or tell me where I can find them?

MAURO MORONI
via E-mail
In the article, the system is implemented using TradeStation software, and the rules were given. The exact TradeStation code is offered in a product available from the article's author. Please visit https://www. MeyersAnalytics.com for more information.-- Editor


GANN SWING TECHNIQUE

Editor,

I am a Russian trader and a constant reader of your magazine since the beginning of the year. First, I would like to thank you for all you're doing for S&C and for its readers.

Second, I have some questions about Robert Krausz's February 1998 article "The new Gann swing chartist." I believe in the importance of having a mechanical trading system with clear and fixed rules that require strict adherence. So when I first looked at Krausz's Basic Gann Swing plan, I liked it very much and wanted to try this system in real trading. I was also interested in purchasing a copy of Krausz's book A W.D. Gann Treasure Discovered to get the other three trading plans. But I wanted to backtest the plan first.

If a system has clear, fixed rules, then it should be able to be described to a computer (and undoubtfully the computer will always strictly follow the rules). However, when I tried, a problem arose when applying rule 2 ("Buy on bar A when prices pass the previous peak, provided the hi-lo activator sell-stop line is below the bar"). If today is bar A and the first requirement of the rule is met, it seems we still cannot enter long, because the second requirement is knowing today's low, which we won't really know until the close. The rule can be correctly fulfilled only by entering long either on the close or on the next day by a buy-stop order when both required conditions occur. This is also true for rule 3.

Let's consider using rule 2 of the Basic Gann Swing Plan when entering long on June 6, 1997 (Figure 27 in the article). Here we see that the Gann swing changes its trend (becomes a solid line), and Krausz enters long after the swing breaches the nearest peak of about 110-21. Here comes a question:

Rule 2 requires that "the hi-lo sell-stop line must be below the bar," whereas the low of June 6, 1997, was apparently lower than the hi-lo sell-stop line. Wasn't rule 2 broken? What is wrong?

DMITRY KHOTEENKOV
Moscow, Russia
You misunderstand how the hi-lo activator is calculated. It's the three-period moving average of the highs or lows plotted one day forward (see page 55 of the February 1998 S&C). If the market is in an uptrend and today is day 4, the hi-lo activator for day 4's trading is the low from days 1, 2 and 3 added together and divided by three. This value is the hi-lo activator for all of day 4. It does not change until the close of day 4. Then, for day 5, the hi-lo activator is the low from days 2, 3 and 4, added together and divided by three. The same concept applies for calculating the highs.

Next, regarding the trade on June 6, 1997, the rule is designed to use the hi-lo activator as a trend confirmation tool in this case. The fact that the low penetrated the hi-lo activator is not important. What is important is the hi-lo activator flipped from being above the market on May 30 to being below the market, and that event indicated the market was headed higher.

Thanks for writing.-- Editor


ROTATIONAL TRADING OF MUTUAL FUNDS

Editor,

I am interested in evaluating "rotational trading" of the Fidelity Select family of mutual funds as well as the stocks that make up the Dow Jones Industrial Average (DJIA), rather than using a buy-and-hold or an "in-or-out of the market" strategy.

But I can't seem to find an approach to momentum ranking of a group of funds (or stocks) that yields rankings on a daily basis that has any kind of consistency. The rankings tend to change rapidly with volatility of the issues under scrutiny, and as expected, change more rapidly if the ranking period (lookback period) is shortened.

Using raw price data and looking at the percent rate of change of prices over a fixed period leaves me with data I don't feel comfortable with. I tried measuring the rate of change of the slope of moving averages (for example, 20, 30 and 40 days) over, say, a three- to five-period lookback, and although that data is smoother, I'm not sure what I have because of the inherent lag of the moving average. I tried the lower-lag indicators like DEMA and TEMA, with somewhat improved results. What other approaches make sense? (I use MetaStock's Explorer software.)

I think this topic would be an excellent article for your magazine.

GEORGE KORB
via E-mail
Any takers?-- Editor


COMMODITY TRADING

Editor,

I am interested in seeing more articles on trading historically profitable spreads in grains, currencies, financials, softs and metals. I'm tired of articles that emphasize trading the S&P, DJIA or OEX. What about oats, wheat, corn, the bean complex, rice, livestock, coffee, cocoa, sugar, currencies, bonds, T-bills and deposits?

DON LEMLEY
San Jose, CA

BOOK ON THE WYCKOFF METHOD

Editor,

Please advise me how I can obtain, at a minimal cost, your series on the Wyckoff method. I am also interested in three articles appearing in your April, May and June 1991 issues: "Using the Arms index in intraday applications," "Cross your arms," and "Using the tick index."

LARRY POH
via E-mail
You can order most of our products from our Web site at https://www.traders.com. Charting the Stock Market: The Wyckoff Method is shown under the "S&C Volume Books" area for $14.95 plus shipping. Volumes 1 through 15 are large-format books containing all the articles and reviews published in STOCKS & COMMODITIES over the last 15 years. Volume 9 (1991) covers the articles you list.-- Editor

Back to September 1998 Contents